【薬剤師国家試験 第102回 問102】オゾン分解による結合の切断パターンを思い出そう

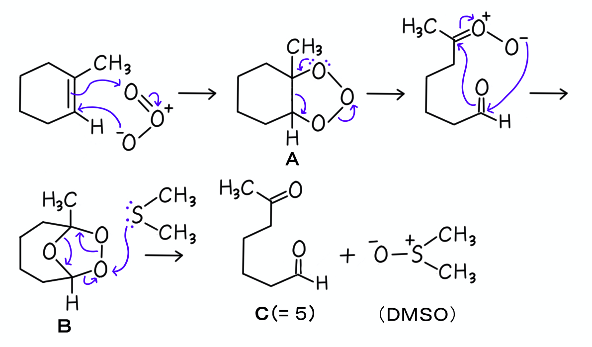
オレフィンに対してオゾン(O3)を作用させて、ジメチルスルフィド((CH3)2S)や、亜鉛(Zn)などの還元剤で処理すると、炭素と炭素の二重結合が切断されます。
最後は、還元剤((CH3)2SやZn)で処理します。
この反応は、いわゆる「オゾン分解」ですよね。
この反応機構は難しいのですが、下に示しておきますね。

まず、オゾンとオレフィンが反応して、五員環をもつ中間体Aができます。
この中間体Aは分解して、結合の組み替えが起こります。
こうして、Aとは異なる新たな五員環をもつ中間体Bが生じた後、還元剤によって再び分解されて、カルボニル基を2個もつ化合物Cができます。
この主生成物Cは、選択肢の5番の化合物ですよね。
ちなみに、還元剤であるジメチルスルフィドは、酸化されてジメチルスルホキシド(DMSO)に変換されています。
反応機構はかなり難しかったのですが、オゾン分解の特徴が分かっていれば、反応機構が分からなくても、反応物を見るだけで正解を導けます。

結果的には、単純に二重結合が切断されて、その切り口が両方ともカルボニル基になっているだけですよね。
落ち着いて、炭素原子の数やカルボニル基の位置などを、選択肢の構造式と照らし合わせれば正解にたどり着けます。
というわけで、正解は5番でした。
---
YouTubeでショート動画を始めました!
第109回薬剤師国家試験の解説をしていますので、是非どうぞ↓
本ブログの管理人が薬の書籍を執筆しました↓(2024年9月発売)
薬理学を簡単に説明しつつ、有機化学(医薬品化学)も織り交ぜています。
こちらも是非よろしくお願いします!
noteではサイエンスライターとして、薬をはじめとする様々な情報を発信しています↓
こちらもよろしくお願いします。
問題の出典: 厚生労働省ホームページ(https://www.mhlw.go.jp/stf/seisakunitsuite/bunya/0000168886.html)
