【薬剤師国家試験 第102回 問101】反応機構と生成物の対称性に注意して解こう

選択肢の反応の主生成物が、ラセミ体なのかどうかを聞いています。
この問題を解くためには、反応機構を正しく理解していることが大切です。
反応機構を一つずつ確認していきましょう。
【1】……この反応は、ヒドロホウ素化(ハイドロボレーション)ですね。
反応機構を下に示しました。
オレフィンとボラン(BH3)の反応は一段階、かつ、シン付加で進行します。
この反応は、位置選択性に注意しなくてはいけません。
立体障害の影響を受けるため、空いている方にホウ素原子側が近づきます。
付加体Aが生じ、さらに同様の反応が、最大2回起こります(A→B)。

続いて、塩基性条件下、過酸化水素による後処理で、転位反応が起こります(B→C→D)。
この段階も、もう2回同じ反応が起こります(D→E)。
最後に、塩基性条件下での加水分解が起こり、主生成物であるアルコールFと、ホウ酸(B(OH)3)が得られます。
この主生成物Fには、不斉炭素原子がありますよね。
光学活性な試薬は使っていないので、もちろんラセミ体です。
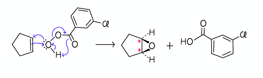
【2】……オレフィンにm-クロロ過安息香酸を反応させると、エポキシドが生成しますよね。
この反応は、第103回の問102でも登場しました。*1

生成物の構造を見てみると、不斉炭素原子が2つありますが、対称構造をもちますので、キラルな化合物ではありません。
このような化合物は、「メソ体」と呼ばれていますよね。
生成物がキラルかどうか判断できないようでしたら、鏡に映した構造を書いてみましょう。
元の構造と鏡に映した構造が重なるようであれば、キラルではありません。
キラルでないならば、エナンチオマーが存在するはずはありません。
当然、ラセミ体が生じることはありませんよね。

【3】……この問題では、臭素分子(Br2)がオレフィンと反応しています。
反応機構を書いてみましょう。
まず、Br2とオレフィンが反応することにより、ブロモニウムイオンが生じます(この段階はシン付加です)。
その後、臭化物イオン(Br-)が最初の段階とは反対側から反応します(結果として、アンチ付加になります)。

ここでも、生成物を鏡で映した構造を書いてみましょう。
この手の化合物(不斉炭素原子が2つ(以上)並んでいる鎖状のアルカン)は、Fischer投影式に書き換えてみると、分かりやすいと思います。

元の構造と鏡に映した構造を比較してみると、同一の構造であることが分かりますね。
この生成物も【2】の問題のときと同様にメソ体です。
【4】……酸性条件下で、オレフィンを水和していますね。
反応機構を下に示しました。
はじめに、オレフィンがプロトン化されます。
このとき、安定な方のカルボカチオンが生じるようにオレフィンがプロトン化されます。
第一級のカルボカチオンよりも、第三級のカルボカチオンの方が安定ですよね。
続いて、水分子が付加して反応終了です。

それでは、この生成物が不斉炭素原子を持つのかどうか、確認してみましょう。
赤い矢印で示した炭素原子は、メチル基が2つ置換していますので、不斉炭素原子ではありませんよね。
アキラルな化合物ですので、当然ラセミ体ではありません。
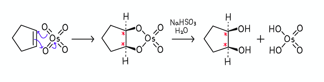
【5】……オレフィンに四酸化オスミウムを使っていますので、この反応は「オスミウム酸化」です。
下記のように進行します(四酸化オスミウムがシン付加→加水分解)。

生成物に不斉炭素原子が2つ生じていますが、これまでと同様に比較してみると、この生成物もメソ体であることが分かります。

以上のことから、正解は【1】でした。
反応機構を正確に理解しておくとともに、生成物がキラルかそうではないのかを判断できるようにしておきましょう。
また、問題文では、反応物の構造式では水素原子が省略されていますが、反応機構を書く際は、大事なオレフィン水素(H)を省略したままにせずに自分で書き足すこともポイントです。
付加反応で生じた化合物の立体化学を判断する上で、間違いを防ぎやすくなります。
---
YouTubeでショート動画を始めました!
第109回薬剤師国家試験の解説をしていますので、是非どうぞ↓
本ブログの管理人が薬の書籍を執筆しました↓(2024年9月発売)
薬理学を簡単に説明しつつ、有機化学(医薬品化学)も織り交ぜています。
こちらも是非よろしくお願いします!
noteではサイエンスライターとして、薬をはじめとする様々な情報を発信しています↓
こちらもよろしくお願いします。
問題の出典: 厚生労働省ホームページ(https://www.mhlw.go.jp/stf/seisakunitsuite/bunya/0000168886.html)
