【薬剤師国家試験 第103回 問107】NMRはシンプルなピークから解析していこう
問107はNMRの問題です。


NMRの問題は、シンプルなピークから解析していきましょう。
分かりやすいピークから帰属し、5つある選択肢をどんどん減らしていきましょう。
まずは、一重線から特定していきましょう。
基本的に、3–4ppmの3Hの一重線(イ)はメトキシ基のHです。
メトキシ基が1つだけあるのは、2、4、5番の化合物ですね。
残りの一重線(エ)はヒドロキシ基だそうです。
ケミカルシフトが5.5 ppmなので、脂肪族アルコールの水酸基ではなく、フェノール性水酸基でしょう。
したがって、この化合物は2か4であると思われます。
ちなみにフェノール性水酸基のHは、たいてい5–6.5ppmぐらいですね。
脂肪族アルコールの水酸基のHは、1.5–2.5ppmといったところでしょう。
なお、分子内で水素結合をしていたら、話は変わってきますので、ご注意ください。*1

簡単なピーク(一重線)で正解を2つの化合物に絞ることができました。
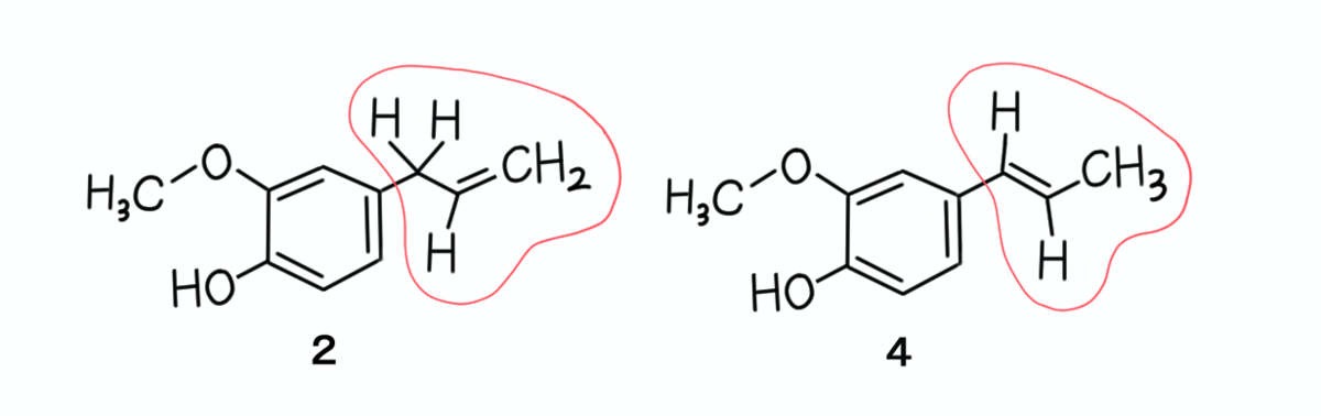
ここで一度、これら2つの化合物(2と4)の構造に着目しましょう。
複雑なピークは、化合物の構造から逆算して考えた方が分かりやすいことが多々あります。
化合物2と4の芳香環領域はあまり構造に違いがありませんね。
違いが顕著である、オレフィンを含む下記の構造に着目しましょう。

一番わかりやすい部分構造は、化合物4のメチル基の部分です。
3H分のピークがあるはずですね。
このピークは、結合3つ分先にあるオレフィンの水素とのカップリングがあるため、二重線になるでしょう(もし、結合4つ先のオレフィン水素とのカップリングも検出されていたら、その分が非常に小さく割れて四重線になります)。
しかし、チャートには3H分で二重線のピークはありません。
続いて、2番の化合物を見ていきましょう。
一番わかりやすそうな部分構造は、アリル位のメチレン水素のピークです。
「2Hの二重線」として検出されるでしょう(ここも、もし結合4つ先のオレフィン水素(×2)とのカップリングも検出されていたら、複雑に割れますのでご注意ください)。
「ア」のピークがこれに相当しますね。
オレフィンの複雑なピーク(一般に、5〜6 ppmに検出されます)も、「ウ」と「オ」に3H分ありますね。
以上のことから、2の化合物が正解で間違いないでしょう。

以上のように、一重線のような単純なピークから選択肢を絞る → 残された選択肢の化合物の構造と、複雑なピークを照らし合わせる……という順序を踏むと、答えにたどり着きやすいと思います。
---
YouTubeでショート動画を始めました!
第109回薬剤師国家試験の解説をしていますので、是非どうぞ↓
本ブログの管理人が薬の書籍を執筆しました↓(2024年9月発売)
薬理学を簡単に説明しつつ、有機化学(医薬品化学)も織り交ぜています。
こちらも是非よろしくお願いします!
noteではサイエンスライターとして、薬をはじめとする様々な情報を発信しています↓
こちらもよろしくお願いします。
問題の出典: 厚生労働省ホームページ(https://www.mhlw.go.jp/stf/seisakunitsuite/bunya/0000198920.html)
