【薬剤師国家試験 第104回 問211】 水溶性が高くなるかどうかを考えよう
問211は、前問に引き続き、生体内で医薬品がどのように変換されるのかを考える問題です。

今度は排泄に関する変換ですね。
問題文のとおり、基本的に医薬品は、生体内で水溶性の高い化合物に変換されてから排泄されるんでしたよね。
尿の主成分は水ですからね。
水溶性を高める必要があることは容易に想像できます。
それでは、各設問を1つずつ見ていきましょう。
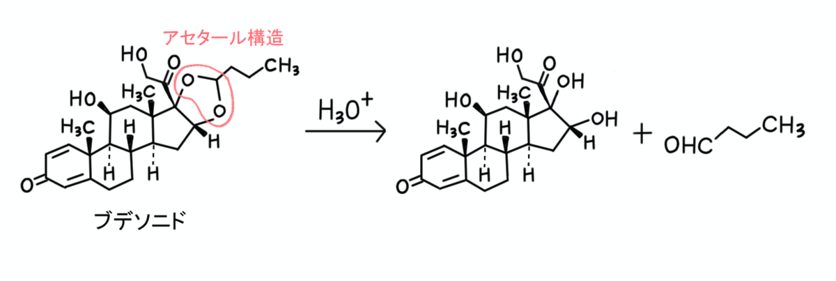
【1】……アセタール構造とは、下に示した部分のことですよね。
アセタールが開裂したら、水酸基が2つも生じるので水溶性が高くなります。
【1】は○ですね。

ついでに、必要な部分の構造だけ書き出して、反応機構を示しておきます。

【2】……ケトンが互変異性化すると、エノール構造が生じます。
水酸基が1つ増えるので水溶性が高くなりそうですが、そもそもエノール構造が不安定なため、この構造のままでいることが難しいでしょう(存在比率がとても小さい)。
【2】の記述は×です。

【3】……そもそも、有機化合物の二重結合が還元されたら、水溶性が高くなるものなのでしょうか?
二重結合の有無と水溶性には関係がなさそうです。
余談ではありますが、二重結合があるかどうか、または二重結合の数が関係しているものと言えば、油脂の性状ですよね。
動物性の油脂(=脂肪)と植物性の油脂(=油)が固体なのか液体なのかは、二重結合の数が関係しているんでした。
この記述は×です。
【4】……水酸基がなくなってしまったとしたら、水溶性は下がってしまいます。
この記述も×です。
【5】……酸化されたらアルデヒドになりますね。

しかしながら、水酸基がアルデヒドになってしまったら、水溶性は下がってしまいます。
CとOより、OとHの方が、電気陰性度の差が大きいですからね(CとOは二重結合なので、単純な比較はできませんが)。
ただし、カルボン酸まで酸化されるのであれば話は別です。

カルボン酸は、アルデヒドはもちろん、アルコールよりも極性が高いです。
分極どころか、プロトンを放出してイオン性の化合物になりますよね。
設問【5】の「酸化される」が、アルデヒドへの酸化なのか、それともカルボン酸まで酸化されるのかが判断できませんね。
【5】は保留にしておきましょう。
というわけで、明らかに正しい記述は【1】のみですね。
【5】の設問については、生体内で21位の水酸基がカルボン酸まで酸化されることはないということのなのかもしれません。
---
YouTubeでショート動画を始めました!
第109回薬剤師国家試験の解説をしていますので、是非どうぞ↓
本ブログの管理人が薬の書籍を執筆しました↓(2024年9月発売)
薬理学を簡単に説明しつつ、有機化学(医薬品化学)も織り交ぜています。
こちらも是非よろしくお願いします!
noteではサイエンスライターとして、薬をはじめとする様々な情報を発信しています↓
こちらもよろしくお願いします。
問題の出典: 厚生労働省ホームページ(https://www.mhlw.go.jp/stf/seisakunitsuite/bunya/0000198921.html)
